2025年10月17日更新

 Solving quintics ,sextics and septics in radicals with Mathematica

[1]In January of this year (2025), I started a project that I had wanted to try for a long time, "using Mathematica to find radical solutions of higher-order equations (fifth-order or higher). The first project I started was a quintic equation (5th order equation), and it took me about a month to complete the program, which was based on the Galois group and primitive element , which was quite time consuming to solve. Then in April I solved the seventh order equation in the same way (but using SageMath for the Galois group & primitive elements). In May I started working on the sextic equation (sixth order equation). However, SageMath could not find the primitive elements of the sextcs, so I learned how to use Galois Resolvent from a paper by Prof. Hagedoen and was able to solve the sextics eventuallly. In June, I tried to solve quintic equation using Galois Resolvent, and finally on July 7, I was able to solve quintic equation using Galois Resolvent. The method using Galois Resolvent takes more time to derive the auxiliary equations than the method using the primitive element&Galois Group. But once the auxiliary equations are obtained, the actual solution is very fast. In fact, when I solved the quintic equation using primitive elements, it took me 30 seconds per problem, but using Galois Resolvent, I could solve it in 0.5 seconds. (^^♪

[2] Next, I tried to solve a septic (seventh order equation) using Galois Resolvent, but it did not work because the order of the auxiliary equation in the case of a septic is 120. So, for a change, I decided to publish an English version of the programs. Since I have created about 20 files and it would be too much work to translate them all, I decided to upload one app for each of the quitic and sextic equations, which can be run with the free Wolfram Player. Wolfram Player is available for Windows/Mac/Linux/iOS, so you should be able to run it on your iPhone or iPAD. (I do not recommend using an iPhone, however, because the exact solution is longer.) A Windows example can be found here(quintic) , here(sextic).

[3]Both apps allow you to download the file, open it with Wolfram Player, and type in the coefficients of f(x) to get the exact solution in an instant.

[4] If you are interested in my application, I have detailed files in Japanese here(quintic) and here(sextic). DeepL or Google Translatator will give you some idea.

[5]Please use the email link below for any comments or questions. Enjoy! I hope this will encourage more people to become enthusiasts of Mathematica, GeoGebra, Magma, SageMath, and other mathematical software.


P.S.[6] [2nd Ocb. 2025] I have written a program to find a radical solution to a solvable septic equation, following the method described in Ref. [4]. A Windows example can be found here (septic). It is an elegant and relatively concise solution. The same authors also introduced a new method for finding a radical solution to a quintic equation. Ref. [4] also uses lots of wonderful method -such as Groebner basis, resultant, new simple resolvents. It is definitely worth reading, although it contains many small errors. (For example, in equation (19), "-1/7c5" should be "1/7c5"; and in equation (22), "-1/49b42" should be "1/49b42".)

Thanks to

  1. Solving solvable quintics ( D.S.DUMMIT)
  2. Solving Quintics By Radicals( D.Lazard)
  3. Genaral Formulas for Solving Solvable Sextic Equations ( Thomas R.Hagedorn)
  4. Solving Quintics and Septics By Radicals (Mohammed A Faggal, Daniel Lazard)


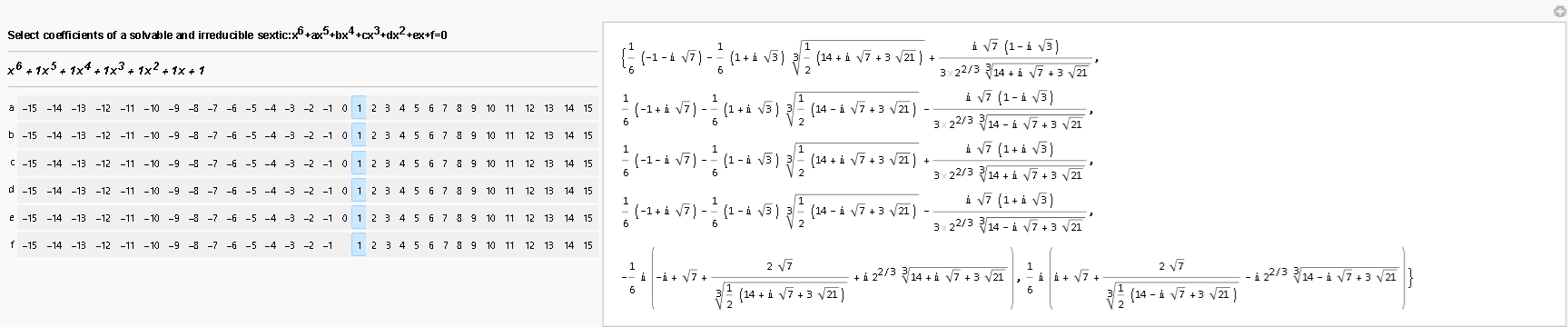
App (which needs free Wolfram Player to excute)
Notebook snap shot
Quintic Equation solveQuinticApp.nb quitic example
Sextic Equation solveSexticApp.nb sextic example
Septic Equation solveSeptcApp.nb septic example

List of solvable irreducible quintics
solvableQuintic.txt

List of solvable irreducible sextics
solvableSextic.txt

List of solvable irreducible sextics
solvavleSeptic.txt


Top page solving 5,6,7th degree polynomial equations by Mathematica   email me
By Shigeki Ogose  All rights reserved